Intro
to Probability and Statistics
Sample
Midterm #3 – Questions And Answers (Answer Key)
Professor Brian Shydlo
Question
1) (12 points) My
friend, Marianne, likes to go to Saratoga and bet on the horses.
She would
like to bet on the trifecta (also known as the triple) in the first race. In the trifecta, you pick, in order, the
first three horses in the race. There
are 8 horses in the first race.
Question
1a) (3 points) In order to be certain of winning, Marianne would like to bet on
all the trifectas. How many different
bets must she place?
Since
order matters use the formula for permutations.
Permut(n,
r) = n! / (n-r)!
Permut(8,
3) = 8! / (8-3)! = 8! / 5! =
8x7x6x5x4x3x2x1 / 5x4x3x2x1
Cancel
out to get 8x7x6x5x4x3x2x1 / 5x4x3x2x1 = 8 x 7 x 6 = 336
The answer is 336
Question
1b) (3 points) She has $500 dollars.
Each bet is $2 each. Does she
have enough money to bet on all the trifectas?
Each
bet is $2. There are 336 different
possible bets. So she would need $2 x
336 = $672 to bet on all the possible trifectas. She only has $500.
The answer is No.
Question
1c) (3 points) To box a trifecta means to pick the first three horses of a
race, without regard to the order in which they place. How many different boxed trifecta bets are
possible for the first race?
Since
order does not matter use the formula for combinations.
Combination(n,
r) = n! / (r! x (n-r)!)
Combination
(8, 3) = 8! / ( 3! x (8-3)! ) = 8! / (3! x 5!) =
8x7x6x5x4x3x2x1 / ( (5x4x3x2x1) x (3 x 2 x 1) )
Cancel
out to get (8x7x6x5x4x3x2x1)/ ( (5x4x3x2x1 ) x (3 x 2 x 1) )
=
(8 x 7 x 6) / ( 3 x 2 x 1) = (8 x 7 x 6) / ( 6 ) = 56
The answer is 56
Question 1d)
(3 points) An exacta (also known as perfecta) is when you pick the first two
horses in a race in order. How much
money will Marianne have left, if any, is she bets all of the possible boxed
trifectas AND bets all the possible exactas? Remember that there are 8 horses, each
bet is $2, and Marianne has $500.
As
computed in question c, the total number of possible boxed trifectas is 56.
Since
order matters for the exacta use the formula for permutations.
Permut(n,
r) = n! / (n-r)!
Permut(8,
2) = 8! / (8-2)! = 8! / 6! =
8x7x6x5x4x3x2x1 / 6x5x4x3x2x1
Cancel
out to get 8x7x6x5x4x3x2x1 / 6x5x4x3x2x1 = 8 x 7 = 56
The
total number of bets is 56 boxed trifectas + 56 exactas = 112 total bets.
The
total amount Marianne must spend is 112 x $2 = $224.
She
starts with $500, bets $224, so she has $276 left.
So the answer is $276.
Question
2) (12 points) My
friend, Jeannie, is an excellent hostess and often invites friends over to her
apartment. When she invites people over,
she always orders Chinese food. She
always orders 8 rolls, 50% spring rolls and 50% Egg Rolls.
Question
2a) (3 points) My friend, Seth, asks me to get him a spring roll from the
kitchen. I really can't tell the
difference, so I just grab a roll at random and bring it back to Seth. What are the odds that Seth gets the roll
that he wants? (Seth can tell the
difference)
There
is a 50% chance.
Interestingly,
whether you use the Hypergeometric Distribution or the Binomial Distribution
you get the same answer. The concept of
replacement or not replacement doesn't make a difference if you only pick 1
item.
Question
2b) (3 points) Suppose I want to bring back enough rolls to ensure that Seth
gets the spring roll that he asked for.
(I'll bring the rest back to the kitchen after he selects the spring
roll he wants.) What is the fewest
number of rolls that I need to bring to ensure that Seth gets a spring roll?
I'd have to bring out exactly 5 rolls.
If
I bring out only 4, then there is a chance that all four could be egg rolls.
Interestingly,
there is a answer to this because this is a finite population. If this were an infinite population with a
binomial distribution, you would need an infinite about to be 100% sure that
you get at least one spring roll. For
example, even if you pick 100 rolls from your infinite population, with the
binomial distribution there is still a 7.89E-31 chance that you won't get a
single spring roll. Admittedly that is
a very small probability.
Question
2c) (3 points) Suppose I can only carry back three rolls from the kitchen. What are the odds that AT LEAST one of the
three is a spring roll?
You
would mode this with a hypergeometric distribution. In this case, I bring out 3 rolls. There are 4 possibilities that follow a
Hypergeometric Distribution.
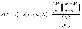
Hypergeometric(x,
n, M, N) where

x
= Successes in Sample
n
= Total Number of sample
M
= Successes in Population
N
= Total Number in Population
|
# of Spring Rolls |
|
Probability |
|
0 |
Hypergeometric(0, 3, 4, 8)
|
7.14% |
|
1 |
Hypergeometric(1, 3, 4, 8)
|
42.86% |
|
2 |
Hypergeometric(2, 3, 4, 8)
|
42.86% |
|
3 |
Hypergeometric(3, 3, 4, 8)
|
7.14% |
|
Total |
|
100.00% |
Since
I want at least one to be a spring roll I can either
a)
Compute 1 - (the probability of 0 spring rolls)
= 100% - 7.14% = 92.86%
or
b)
Compute the sum of the probability of 1 spring roll + the probability of 2
spring rolls + the probability of 3 spring rolls = 42.86% + 42.86% + 7.14% = 92.86%
The answer is 92.86%
Several
people incorrectly used the binomial distribution. I can't think of a better way to explain why
it is dependent when I take rolls and don't replace them. The only think I can think of is to ask what
are the odds that I pick 5 rolls and all of them are spring rolls. I think most people would know that the odds
are 0, since there are only 4 Spring Rolls in the pile. If this was independent and followed binomial
distribution, the odds would be greater than zero.
What
Follows is a comparison of the odds if it were binomial compared to
Hypergeometric.
For
Binomial, assume 3 trials. The odds of
pulling a spring roll are 50%. And after
I pull a single roll I replace it back into the pile of roll.
For
Hypergeometric assume I pull 3 rolls from 8 where 4 are success and 4 are
failure.
|
# of Spring Rolls (Successes) |
Hypergeometric
Probability |
Binomial Probability |
|
0 |
7.14% |
12.50% |
|
1 |
42.86% |
37.50% |
|
2 |
42.86% |
37.50% |
|
3 |
7.14% |
12.50% |
|
Total |
100.00% |
100.00% |
Same
things again, but now assume 4 trials for Binomial (p = 50%) or grab 4 rolls
for Hypergeometric.
|
# of Spring Rolls (Successes) |
Hypergeometric
Probability |
Binomial Probability |
|
0 |
1.4286% |
6.25% |
|
1 |
22.8571% |
25.00% |
|
2 |
51.4286% |
37.50% |
|
3 |
22.8571% |
25.00% |
|
4 |
1.4286% |
6.25% |
|
Total |
100.00% |
100.00% |
Same
things again, but now assume 5 trials for Binomial (p = 50%) or grab 5 rolls
for Hypergeometric.
|
# of Spring Rolls (Successes) |
Hypergeometric
Probability |
Binomial Probability |
|
0 |
0* |
3.13% |
|
1 |
7.14% |
15.63% |
|
2 |
42.86% |
31.25% |
|
3 |
42.86% |
31.25% |
|
4 |
7.14% |
15.63% |
|
5 |
0** |
3.13% |
|
Total |
100.00% |
100.00% |
*
Why is the odds of getting 0 spring rolls without replacement 0% when I pick 5
rolls? Almost everyone got question 2b
correct. Question 2b, restated, says
that there is a 100% change of getting one or more spring rolls if you take 5
rolls. That means there is a zero chance
of picking 0 spring rolls. This makes
sense as there are only 4 eggs rolls in the pile.
**
Why is the odds of picking 5 spring rolls without replacement 0%? There are only 4 spring rolls in the pile.
Same
things again, but now assume 6 trials for Binomial (p = 50%) or grab 6 rolls
for Hypergeometric.
|
# of Spring Rolls (Successes) |
Hypergeometric
Probability |
Binomial Probability |
|
0 |
0% |
1.56% |
|
1 |
0% |
9.38% |
|
2 |
21.43% |
23.44% |
|
3 |
57.14% |
31.25% |
|
4 |
21.43% |
23.44% |
|
5 |
0% |
9.38% |
|
6 |
0% |
1.56% |
|
Total |
100.00% |
100.00% |
If
I pick six rolls it should be clear that I can't pick more than 4 spring rolls
without replacement. There are only 6
rolls in the pile.
Why
can't I pick fewer than 2? If I pick 1
spring roll, then I must have picked 5 egg rolls, which can't be, since there
are only 4 in the pile.
Same
things again, but now assume 7 trials for Binomial (p = 50%) or grab 7 rolls
for Hypergeometric.
|
# of Spring Rolls (Successes) |
Hypergeometric
Probability |
Binomial Probability |
|
0 |
0% |
0.78% |
|
1 |
0% |
5.47% |
|
2 |
0% |
16.41% |
|
3 |
50% |
27.34% |
|
4 |
50% |
27.34% |
|
5 |
0% |
16.41% |
|
6 |
0% |
5.47% |
|
7 |
0% |
0.78% |
|
Total |
100.00% |
100.00% |
Same
things again, but now assume 7 trials for Binomial (p = 50%) or grab 7 rolls
for Hypergeometric.
|
# of Spring Rolls (Successes) |
Hypergeometric
Probability |
Binomial Probability |
|
0 |
0% |
0.78% |
|
1 |
0% |
5.47% |
|
2 |
0% |
16.41% |
|
3 |
50% |
27.34% |
|
4 |
50% |
27.34% |
|
5 |
0% |
16.41% |
|
6 |
0% |
5.47% |
|
7 |
0% |
0.78% |
|
Total |
100.00% |
100.00% |
Same
things again, but now assume 8 trials for Binomial (p = 50%) or grab 8 rolls
for Hypergeometric.
|
# of Spring Rolls (Successes) |
Hypergeometric
Probability |
Binomial Probability |
|
0 |
0% |
0.39% |
|
1 |
0% |
3.13% |
|
2 |
0% |
10.94% |
|
3 |
0% |
21.88% |
|
4 |
100% |
27.34% |
|
5 |
0% |
21.88% |
|
6 |
0% |
10.94% |
|
7 |
0% |
3.13% |
|
8 |
0% |
0.39% |
|
Total |
100.00% |
100.00% |
Question
2d) (3 points) Suppose I can only carry back three rolls from the kitchen. What are the odds that EXACTLY one of the
three is a spring roll?
See
the answer from part c.
The answer is 42.86%
Question
3) (23 points) My
friend, Kaplan, is an excellent student.
The odds of him getting an A in any class he takes are 95%. There is a 5% chance of him getting a B. There are no other grades he can get. He is in the MBA program at Stern. There are 20 classes that he'll take to
graduate.
Question
3a) (4 points) What are the odds that Kaplan will graduate with a 4.00
average? Assume that the grade he gets
in each class is INDEPENDENT.
This
should be modeled using the Binomial Distribution.

You
can approach this one of two ways.
Way
1)
Define
p = the probability that Kaplan will get an A = 95%
q
= 1 - p = 5%
Number
of Trials = 20
Number
of successes = 20 (He gets all As)
(20
choose 20) x 0.9520 x 0.050 = 1 x 0.9520 x 1 = 35.85%
Way
2)
Define
p = the probability that Kaplan will get a B = 5%
q
= 1 - p = 95%
Number
of Trials = 20
Number
of successes = 0 (He does not get any
Bs)
(20
choose 0) x 0.050 x 0.9520 = 1 x 1 x 0.9520 = 35.85%
The answer is 35.85%.
Question
3b) (4 points) What is the expected number of As that Kaplan will get?
The
formula for the binomial distribution is np.
n = 20. p = 95%.
n
x p = 20 x .95 = 19
The answer is 19.
Question 3c)
(4 points) My friend Rich is also very smart and is also in the MBA
program. He has a 90% chance of getting
an A in any given class. What are the
odds that Rich will get a better grade than Kaplan in any single class? Remember, there are only two grades, A and
Not A (otherwise known as getting a B) and everything is INDEPENDENT.
Hint:
Use a Probability Box to get the answer (you don't have to use a box, if you
don't need to).
Let:
A
= Kaplan gets an A
A'
= Kaplan gets a B (does not get an A)
B
= Rich gets an A
B'
= Rich gets a B (does not get an A)
P(A)
= 95% (given in problem)
P(A')
= 1 - P(A) = 1 - 95% = 5%
P(B)
= 90% (given in problem)
P(B')
= 1 - P(B) = 1 - 90% = 10%
Since
they are independent we can use the following formula:
The
probability Rich gets an A and Kaplan gets a B:
P(A'
∩ B) = P(A') * P(B) = 5% x 90% = 4.5%
Here
is the Box
|
|
B |
B' |
|
|
A |
85.5% |
9.5% |
95% |
|
A' |
4.5% |
0.5% |
5% |
|
|
90% |
10% |
100% |
The answer is 4.5%.
Question 3d)
(4 points) What are the odds that Rich will graduate with a 4.00 average? Assume that the grade he gets in each class
is INDEPENDENT and that there are 20 classes.
See
the answer to question 3a)
Define
p = the probability that Rich will get an A = 90%
q
= 1 - p = 10%
Number
of Trials = 20
Number
of successes = 20 (He gets all As)
(20
choose 20) x 0.9020 x 0.050 = 1 x 0.9020 x 1 = 12.16%
The answer is 12.16%.
Question
3e) (4 points) What are the odds that Rich will graduate with a 4.00 average
AND Kaplan will NOT graduate with a 4.00 Average? Assume independence for everything. Remember they each take 20 courses.
Hint 1:
This can be solved the same way as question 3c.
Hint 2:
I am not asking what are the odds that Rich will graduate with a higher GPA
than Kaplan, which is a different question.
Let:
A
= Kaplan gets a 4.0
A'
= Kaplan does not get a 4.0 (gets less than a 4.0, since you can't get more
than a 4.0)
B
= Rich gets a 4.0
B'
= Rich does not get a 4.0 (gets less than a 4.0, since you can't get more than
a 4.0)
P(A)
= 35.85% (see part a)
P(A')
= 1 - P(A) = 1 - 35.85% = 64.15%
P(B)
= 12.16% (see part d)
P(B')
= 1 - P(B) = 1 - 12.16% = 87.84%
Since
they are independent we can use the following formula:
The
probability Rich gets a 4.0 and Kaplan does not?
P(A'
∩ B) = P(A') * P(B) = 64.15% x 12.16% = 7.80%
Here
is the Box
|
|
B |
B' |
|
|
A |
4.36% |
31.49% |
35.85% |
|
A' |
7.8% |
56.35% |
64.15% |
|
|
12.16% |
87.84% |
100% |
The answer is 7.8%.
Question
3f) (3 points) Assume that at the end of the program Rich has a 4.0 and Kaplan
does not. Should Kaplan be upset? What should Kaplan say if Rich gloats about
his success (not that Rich would)?
You'll
get credit for anything reasonable you write for this question.
This
is only an example: Kaplan might say to
Rich, "You just got lucky".
Question
4) (8 points) You have 4 dice. Each is a normal six-sided die with a 1/6
probability of landing on each of the sides.
You roll all 4 die and add up the scores. So the lowest possible score is 4, in which
case you got all 1s and the highest possible score is 24, in which case you
must have rolled all 6s.
Question
4a) (4 points) What is the expected value of the sum of the 4 die?
The
expected value of a single die is (1 + 2 + 3 + 4 + 5 + 6) / 6 = 3.5
The
expected value of 4 dice is 4 * 3.5 = 14
The answer is 14.
Question
4b) (4 points) What is the Variance of the sum of the 4 die?
Hint:
The Standard Deviation of a single die is 1.708.
Let
Var(X1) be the variance for Die 1.
Let
Var(X2) be the variance for Die 2.
Let
Var(X3) be the variance for Die 3.
Let
Var(X4) be the variance for Die 4.
The
variance of each one is the square of the standard deviation: 1.708 * 1.708 = 2.917.
The
variance of a sum is the sum of the variances (only if they are independent,
which they are in this case) so:
Var
( X1 + X2 + X3 + X4) = 2.917 +
2.917 + 2.917 + 2.917 = 11.668
The answer is 11.668.
Question
5) (21 points)
Assume that you have a portfolio of 7 Bonds in total. You have 3 B rated bonds and 4 D rated
bonds. The following chart will be the
default rate for those bonds. Assume
that all defaults of B relative to D bonds are INDEPENDENT.
B Bonds
|
# Defaults |
Probability |
|
0 |
50% |
|
1 |
35% |
|
2 |
10% |
|
3 |
5% |
D Bonds
|
# Defaults |
Probability |
|
0 |
1% |
|
1 |
5% |
|
2 |
10% |
|
3 |
30% |
|
4 |
54% |
Question
5a) (4 points) What is expected value of the number of defaults for B bonds?
|
# Defaults |
Probability |
Probability * (# of Defaults) |
|
0 |
50% |
0.00 |
|
1 |
35% |
0.35 |
|
2 |
10% |
0.20 |
|
3 |
5% |
0.15 |
Answer
= 0 x 50% + 1 x 35% + 2 x 10% + 3 x 5% =
0.70
The answer is 0.70.
Question
5b) (4 points) What is variance and standard deviation of the number of defaults
for B bonds?
|
# Defaults |
Probability |
Expected Value |
Deviation |
Squared Deviation |
Squared Deviation x
Probability |
|
0 |
50% |
0.70 |
-0.7 |
0.49 |
0.2450 |
|
1 |
35% |
0.70 |
0.3 |
0.09 |
0.0315 |
|
2 |
10% |
0.70 |
1.3 |
1.69 |
0.1690 |
|
3 |
5% |
0.70 |
2.3 |
5.29 |
0.2645 |
Answer
= 0.2450 + 0.0315 + 0.1690 + 0.2645 = 0.71
Take
square root of 0.71 to get the standard deviation = 0.843
The answer is 0.71 for Variance and 0.843 for the standard
deviation.
Question 5c)
(3 points) What are the odds that you get exactly 0 defaults in your whole
portfolio?
So you get
0 B rated bonds defaulting and 0 D rated bonds defaulting.
Hint: I
am looking for the Intersection
Let:
A
= 0 B bonds default
B
= 0 D bonds default
There
are independent so you can use this formula:
P(A
∩ B) = P(A) * P(B) = 50% x 1% = 0.50%
The answer is 0.50%
Question
5d) (3 points) What are the odds that you get 0 B rated bond defaults or 0 D
rated bond defaults (or 0 total defaults).
Hint: I
am looking for the Union
Let:
A
= 0 B bonds default
B
= 0 D bonds default
Use
the formula:
P(A
U B) = P(A) + P(B) - P(A ∩ B)
P(A
∩ B) = 0.50%, computed in question 5c
50.5% = 50% + 1% - 0.5%
The answer is 50.5%
Question 5e)
(4 points) What are the odds that you get exactly 1 default in your whole
portfolio?
So you get
1 B rated bond defaulting and 0 D rated bonds defaulting OR
So you get
0 B rated bond defaulting and 1 D rated bonds defaulting.
Let:
B0
= 0 B Bonds default
B1
= 1 B Bond default
D0
= 0 D Bonds default
D1
= 1 D Bond default
P(B0)
= 50%
P(B1)
= 35%
P(D0)
= 1%
P(D1)
= 5%
Since
they are independent we can use the following formula:
P(B0
∩ D1) = P(B0) * P(D1) = 50% x 5% =
2.50%
P(B1
∩ D0) = P(B1) * P(D0) = 35% x 1% =
0.35%
P(B0
∩ D1) + P(B1 ∩
D0)
= 2.50% + 0.35% = 2.85%
The answer is 2.85%.
Question
5f) (3 points) Assume that you have a portfolio of 7 Bonds in total. You have 3 B rated bonds and 4 D rated
bonds. (same as before so far) Now assume that the bond defaults are
binomially distributed.
pB-Bond
= the probability that a B rated bond defaults = 20%
pD-Bond
= the probability that a D rated bond defaults = 90%
Fill in the
chart using the binomial distribution odds:
B Bonds
|
# Defaults |
Probability |
|
0 |
0.5120 |
|
1 |
0.3840 |
|
2 |
0.0960 |
|
3 |
0.0080 |
D Bonds
|
# Defaults |
Probability |
|
0 |
0.0001 |
|
1 |
0.0036 |
|
2 |
0.0486 |
|
3 |
0.2916 |
|
4 |
0.6561 |
Question
6) (24 points) My
friend Tony has a width of 15 inches. (Don't
confuse width with waist size, which would be diameter x pi = (15 inches *
3.14) if Tony's waist was a perfect circle.)
A person's
width is normally distributed with a mean of 12 inches and a standard deviation
of 1.5 inches.
The seats
at a Broadway show are exactly 14 inches wide.
Anyone who comes to a show who is greater than 14 inches wide will be
uncomfortable. Anyone who comes to the
show who is exactly 14 inches or less will be comfortable.
Question
6a) (3 points) Suppose Tony goes to the theater above. What are the odds that he will be
uncomfortable?
The answer is 100%.
Question
6b) (6 points) A random person comes into the theater. This person's width follows the normal
distribution as described above. What
are the odds that this person will be uncomfortable?
Step
one: Do Z transformation to figure out
standard deviations from the mean.
(14
- 12) / 1.5 = 1.333
What
is the probability that a person's width is greater than 1.333 standard
deviations from the mean?
Look
up on the chart of standard normal distributions (which assume a mean of zero
and a standard deviation of 1).
You
see 40.8789%
This
means that from 0 to 1.333 standard deviations there is a 40.8789% chance.
We
know that from -infinity to 0 there is a 50% chance.
So
total to the left of 1.333 standard deviations is 90.8789%.
We
want greater than 2 standard deviations so its 100% - 90.8789% = 9.1211%
The answer is 9.1211%.
Question
6c) (6 points) A person is ultra-comfortable if they have 3 or more inches of
extra room in their chair. Assume that a
random person comes into the theater.
This person's width follows the normal distribution as described above
and the chairs are 14-inches wide. What
are the odds that this person will be ultra-comfortable?
Since
the chairs are 14 inches wide, a person would need to be (14 - 3) = 11 inches
wide or less than 11 wide to be ultra-comfortable.
Do
Z transformation to figure out standard deviations from the mean.
(11
- 12) / 1.5 = -0.66666
What
is the probability that a person's width is less than -0.666 standard
deviations from the mean?
Look
up on the chart of standard normal distributions (which assume a mean of zero
and a standard deviation of 1).
We
know that the distribution is symmetric so we can look up +0.666 instead of
-0.666.
You
see 24.75%
This
means that from 0 to 0.666 standard deviations there is a 24.75% chance.
We
know that from 0 to infinity there is a 50% chance.
So
total to the right of 0.666 standard deviations is 25.25%.
This
means that to the left of -0.666 is also 25.25%.
The answer is 25.25%.
Question
6d) (3 points) Assume that a particular theater on Broadway has 10 rows of
seats, each of the 10 rows is 70 feet across.
Each seat is exactly 14 inches wide and there are no gaps or aisles between
the seats. The theater fills up every
night and they charge $50 per seat. How
much money do they make each night?
70
feet across / 12 inches/foot = 840 inches across
840
inches / 14 inches/seat = 60 seats
60
seats/row * 10 rows = 600 seats
600
seats * $50/seat = $30,000
The answer is $30,000.
Question
6e) (3 points) Assume that the owner of the theater can at zero cost switch to
seats that are 15 inches wide. How much
money will they lose relative to the 14 inch wide seats? Assume that they fill up the theater with
either size seat.
First
figure out how much they make with 15 inch seats
70
feet across / 12 inches/foot = 840 inches across
840
inches / 15 inches/seat = 56 seats
56
seats/row * 10 rows = 560 seats
560
seats * $50/seat = $28,000
$30,000
- $28,000 = $2,000
The answer is $2,000.
Question
6f) (3 points) More seats mean more money when you assume that the theater is
always full. That assumption will not
hold if the seats get too small. People
will not be comfortable and not go to your theater.
What sort
of analysis would you do to determine the optimal size of seats in your theater
assuming you want to maximize profits?
What do you tell Tony if he complains that the seats are uncomfortable?
Any
reasonable answer will be accepted and there are several approaches you can
take.
You
may want to set the seat size so that if
a)
You make the seats a little bigger you would lose money from fewer seats.
b)
You make the seats a little smaller you would lose money from fewer customers
(you have more seats, but they are empty because people don't go to your
theater).
You
might do an analysis like this:
|
Seat Width |
70*12*10 = Inches to place seats |
Total Seats |
Per Seat Profit |
Revenue if Full house = Seats * $50 |
Estimated Revenue Based on my guess |
|
6 |
8400 |
1400.00 |
$ 50.00 |
$70,000.00 |
$ -
|
|
7 |
8400 |
1200.00 |
$ 50.00 |
$60,000.00 |
$ 50.00 |
|
8 |
8400 |
1050.00 |
$ 50.00 |
$52,500.00 |
$ 1,000.00 |
|
9 |
8400 |
933.33 |
$ 50.00 |
$46,666.67 |
$ 5,000.00 |
|
10 |
8400 |
840.00 |
$ 50.00 |
$42,000.00 |
$15,000.00 |
|
11 |
8400 |
763.64 |
$ 50.00 |
$38,181.82 |
$20,000.00 |
|
12 |
8400 |
700.00 |
$ 50.00 |
$35,000.00 |
$25,000.00 |
|
13 |
8400 |
646.15 |
$ 50.00 |
$32,307.69 |
$27,900.00 |
|
14 |
8400 |
600.00 |
$ 50.00 |
$30,000.00 |
$29,000.00 |
|
15 |
8400 |
560.00 |
$ 50.00 |
$28,000.00 |
$28,000.00 |
|
16 |
8400 |
525.00 |
$ 50.00 |
$26,250.00 |
$26,250.00 |
|
17 |
8400 |
494.12 |
$ 50.00 |
$24,705.88 |
$24,705.88 |
|
18 |
8400 |
466.67 |
$ 50.00 |
$23,333.33 |
$23,333.33 |
|
19 |
8400 |
442.11 |
$ 50.00 |
$22,105.26 |
$22,105.26 |
|
20 |
8400 |
420.00 |
$ 50.00 |
$21,000.00 |
$21,000.00 |

So
even though you might want to shrink seats to make more profit, if you actually
make the seats 7 inches wide, you only make $50 profit, not the $60,000 you
might have naively expected.